Fastener Library: Sheet Metal Gauge Chart
Call us today! 800.483.6354
Standard steel, galvanized steel and aluminum are all used to make a useful material called sheet metal. Sheet metal derives its name from the fact that it is formed into thin, flat pieces that make it extremely easy to work with. The right tools can then let you can bend, shape, roll and cut sheet metal into your desired shape. This quality gives it a variety of practical uses. Sheet metal is commonly used in:
In this guide, we will explain how sheet metal is measured and the kinds of screws it works well with, both of which are important to know when working with sheet metal. All Points Fasteners has all of the fasteners and other tools you need for your next sheet metal project. We offer unparalleled customer support, so we will help you find the exact sheet metal screw you need.
The actual thickness of the metal sheet is indicated as a unit of measurement referred to as “gauge.” Lower gauge numbers indicate a thicker metal sheet, and higher gauge numbers refer to a thinner metal sheet. The numbers have no relevance to common measurements, like inches or millimeters, as they are independent of these measuring systems.
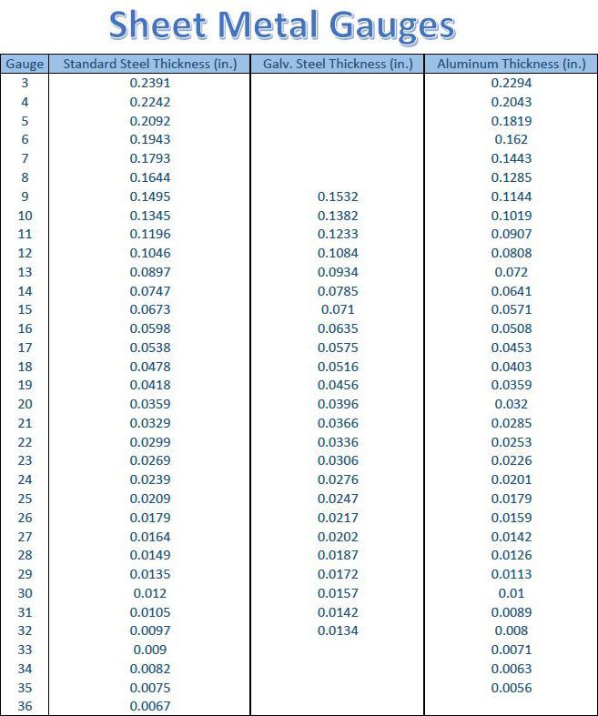
The standard sheet metal gauge range begins at 30 on the thin end and drops down to 7 at the thicker end of the scale. However, the actual thickness and corresponding gauge will differ depending on the type of metal. Many metals can be produced in gauges up to 36 or down to 3, which is way beyond the average range.
Screws used for fastening sheet metal to wood or metal objects are typically manufactured from either carbon steel or stainless steel. As you can see on the sheet metal gauge chart below, the metal gauge thickness will vary significantly depending on the metal.
For instance, a sheet of 30-gauge standard steel measures 0.012 inches, which is slightly smaller than 30-gauge galvanized steel at 0.0157 inches and slightly larger than 30-gauge aluminum at 0.01 inches. On the thicker end, 9-gauge standard steel is 0.1495”, which is slightly less than 9-gauge galvanized steel at 0.1532 inches and slightly more than 9-gauge aluminum at 0.1144 inches.
You will also notice that the gauge ranges between these metal types differ. Standard steel has the largest range, running from 3 to 36, closely followed by aluminum from 3 to 35. Galvanized steel has the smallest range from 9 to 32.
Use this steel gauge chart to compare the thicknesses of various kinds of sheet metals. The gauge measurement is in the left column, running from thick to thin. The remaining three columns indicate the thicknesses of standard steel, galvanized steel and aluminum metal sheets in inches.
Types of Sheet Metal Screws Available From All Points Fasteners
All Points Fasteners is your headquarters for high-quality sheet metal screws at affordable prices. We offer two popular kinds of screws in various sizes:
Our specific versions of sheet metal screws include:
Sheet metal screws come in various dimensions. To determine the right size for your project, you’ll need to consider the following factors:
The material used to construct sheet metal screws impacts their quality, performance, and longevity. Standard screws are the most affordable, but they may not meet your durability requirements. On the other hand, products such as Carbon steel screws for aluminum, stainless screws and ceramic coated galvanized screws cost more but offer greater strength and corrosion resistance. Consider the latter options for outdoor construction projects in wetter climates.
As mentioned in a previous section, you have numerous options regarding screw head style. A pan head is the best choice if you want a head that’s raised from the surface of the workpiece or structure. Oval heads will provide a more finished appearance, while flathead screws deliver the best results for applications requiring countersinking. For water-based jobs, consider screws with neoprene hex washers.
When trying to find the right type of fastener, you should also decide whether you want to use a self-drilling screw. This fastener consists of a drill point that enables it to create its own hole when entering the material. If you use standard screws, you may need to drill a pilot hole before insertion.
For all of your sheet metal screw needs, come to All Points Fasteners. We have a large variety of fasteners available, making it easy for you to find what you need. We feature a wide range of products from leading manufacturers with an excellent reputation for producing high-superior fasteners that stand the test of time. You can trust items you purchase from us to meet your expectations. And with our affordable prices, our fasteners can fit any company’s budget. Low prices and excellent quality is an unbeatable combination!
If we do not have what you want, we will find it for you and get it to you quickly. We can even source many of those “unusual” items you require for your projects. We believe that by doing whatever it takes to meet the needs of every customer, we can establish long-term, mutually beneficial relationships. Our high-quality products work well for contractors in industries like roofing, HVAC and others.
In addition to offering domestic-quality sheet metal screws and other fasteners at imported prices, All Points Fasteners provides a level of customer support that is unmatched in our industry. Unlike our competitors, we make a live chat feature available, so you can ask our knowledgeable support staff about product specifications and receive reliable product selection guidance. Our team will answer all of the questions you have about our fasteners, making you confident in your purchase.
We recognize that relying on a photograph and a product description may not be enough when choosing the right sheet metal screws, stainless steel screws or other fastening products for your applications.
If you’re a U.S. customer, you have access to free samples. We can provide the samples after you receive a custom quote and agree to the terms.
To get in touch with us, fill out the contact form on our website or give us a call at 800-483-6354 today.
site by RobinSpurs.com
